Официальное опубликование правовых актов
ОФИЦИАЛЬНОЕ ОПУБЛИКОВАНИЕ
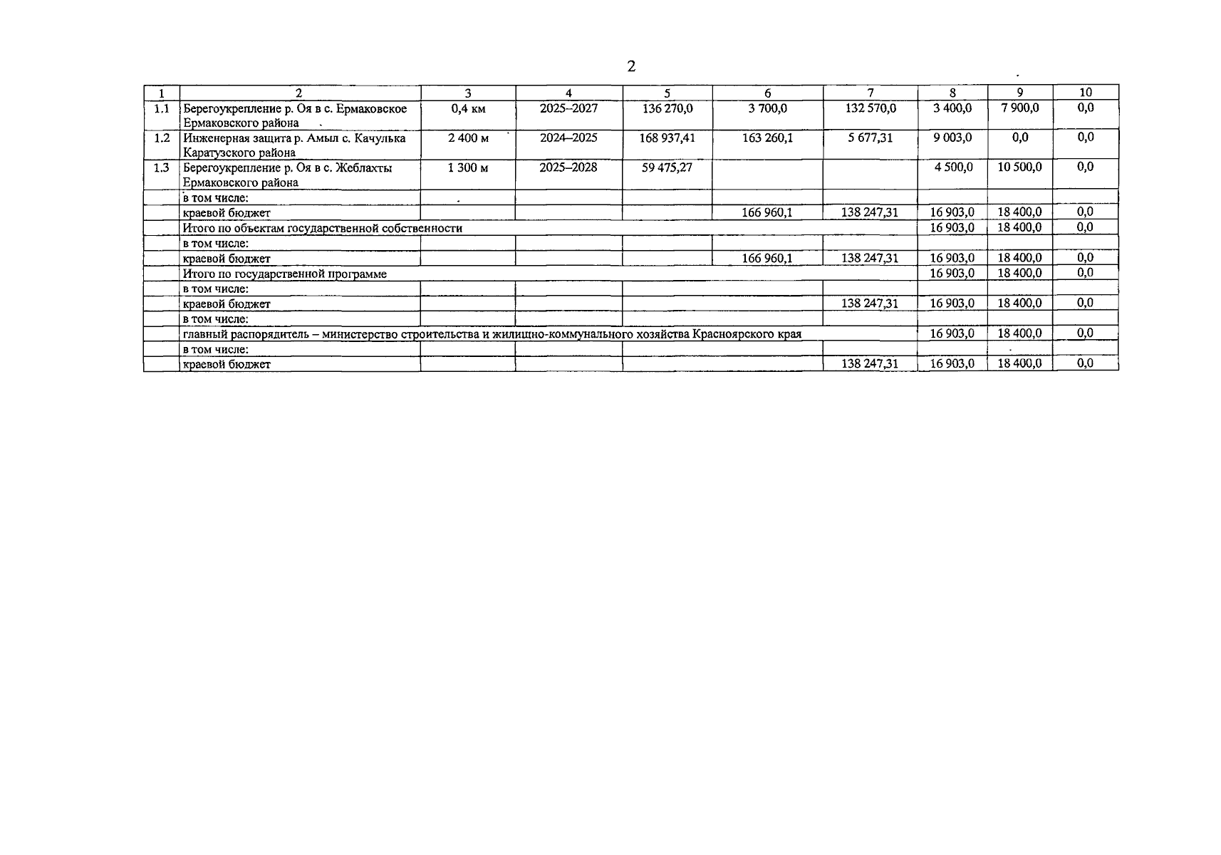
Постановление Правительства Красноярского края от 14.10.2025 № 889-п
"О внесении изменений в постановление Правительства Красноярского края от 30.09.2013 № 513-п "Об утверждении государственной программы Красноярского края "Развитие лесного хозяйства, воспроизводство и использование природных ресурсов"
Номер опубликования: 2400202510200005
Дата опубликования: 20.10.2025
Страница №30 из 30:
Увеличить