Официальное опубликование правовых актов
ОФИЦИАЛЬНОЕ ОПУБЛИКОВАНИЕ
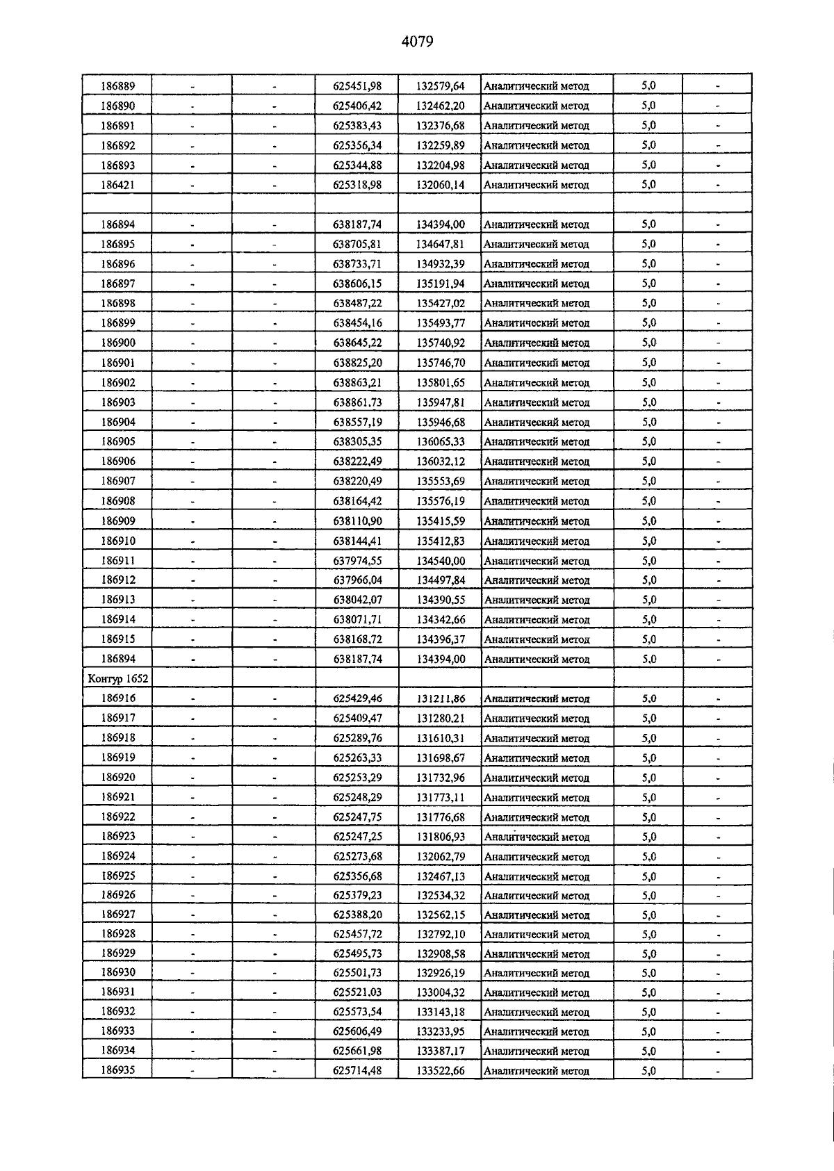
Постановление Правительства Красноярского края от 29.07.2025 № 609-п
"О переименовании государственного комплексного заказника краевого значения "Красноярский" и внесении изменений в постановление Правительства Красноярского края от 20.04.2010 № 196-п "О создании особо охраняемой природной территории – государственного комплексного заказника краевого значения "Красноярский"
Номер опубликования: 2400202508070003
Дата опубликования: 07.08.2025
Страница №4087 из 4091:
Увеличить