Официальное опубликование правовых актов
ОФИЦИАЛЬНОЕ ОПУБЛИКОВАНИЕ
Постановление Правительства Красноярского края от 22.07.2025 № 576-п
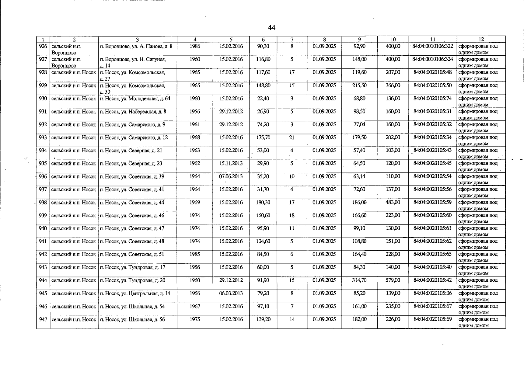
"О внесении изменений в постановление Правительства Красноярского края от 29.03.2019 № 144-п "Об утверждении региональной адресной программы "Переселение граждан из аварийного жилищного фонда в Красноярском крае" на 2019—2025 годы"
Номер опубликования: 2400202508010022
Дата опубликования: 01.08.2025
Страница №47 из 72:
Увеличить