Официальное опубликование правовых актов
ОФИЦИАЛЬНОЕ ОПУБЛИКОВАНИЕ
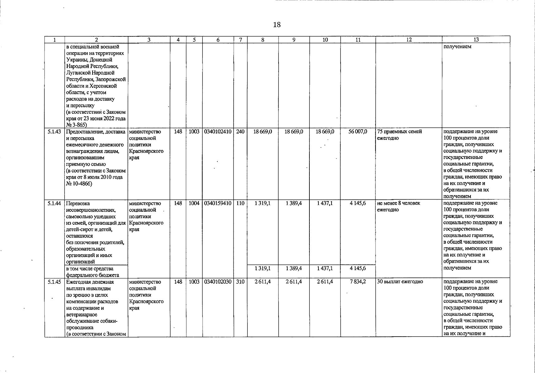
Постановление Правительства Красноярского края от 08.07.2025 № 548-п
"О внесении изменений в постановление Правительства Красноярского края от 30.09.2013 № 507-п "Об утверждении государственной программы Красноярского края "Развитие системы социальной поддержки граждан"
Номер опубликования: 2400202507170005
Дата опубликования: 17.07.2025
Страница №22 из 85:
Увеличить