Официальное опубликование правовых актов
ОФИЦИАЛЬНОЕ ОПУБЛИКОВАНИЕ
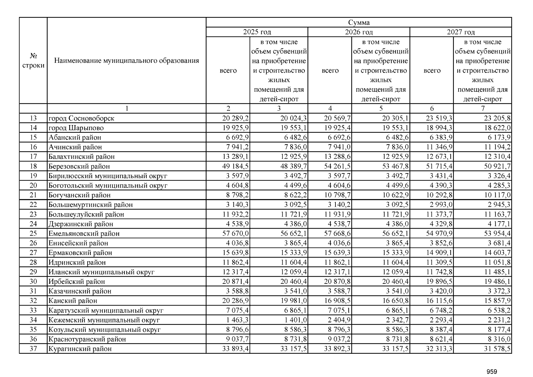
Закон Красноярского края от 24.04.2025 № 9-3807
"О внесении изменений в Закон края "О краевом бюджете на 2025 год и плановый период 2026-2027 годов" (принят Законодательным Собранием Красноярского края 24.04.2025, подписан Губернатором Красноярского края 29.04.2025)
Номер опубликования: 2400202505050021
Дата опубликования: 05.05.2025
Страница №1057 из 1095:
Увеличить