Официальное опубликование правовых актов
ОФИЦИАЛЬНОЕ ОПУБЛИКОВАНИЕ
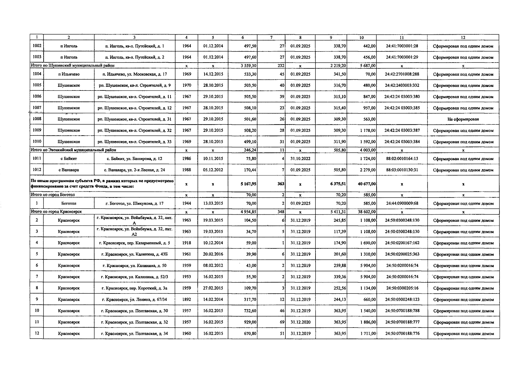
Постановление Правительства Красноярского края от 20.02.2025 № 130-п
"О внесении изменений в постановление Правительства Красноярского края от 29.03.2019 № 144-п "Об утверждении региональной адресной программы "Переселение граждан из аварийного жилищного фонда в Красноярском крае" на 2019—2025 годы"
Номер опубликования: 2400202502260003
Дата опубликования: 26.02.2025
Страница №42 из 57:
Увеличить