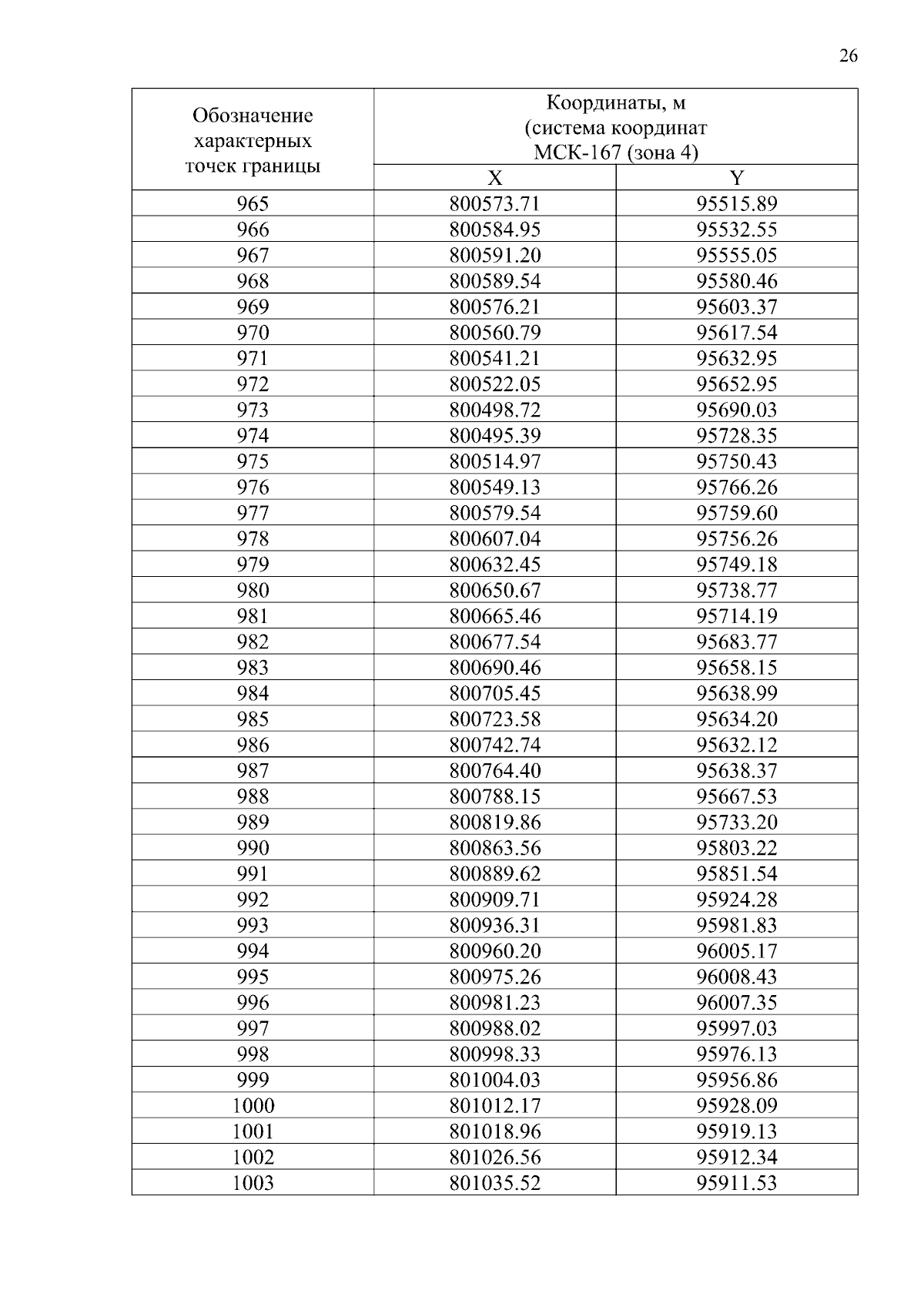
Закон Красноярского края от 21.11.2024 № 8-3281
"О внесении изменений в Закон края "Об установлении границ и наделении соответствующим статусом муниципального образования Казачинский район и находящихся в его границах иных муниципальных образований" (принят Законодательным Собранием Красноярского края 21.11.2024, подписан Губернатором Красноярского края 28.11.2024)
"О внесении изменений в Закон края "Об установлении границ и наделении соответствующим статусом муниципального образования Казачинский район и находящихся в его границах иных муниципальных образований" (принят Законодательным Собранием Красноярского края 21.11.2024, подписан Губернатором Красноярского края 28.11.2024)
Номер опубликования: 2400202411290015
Дата опубликования:
29.11.2024
