Официальное опубликование правовых актов
ОФИЦИАЛЬНОЕ ОПУБЛИКОВАНИЕ
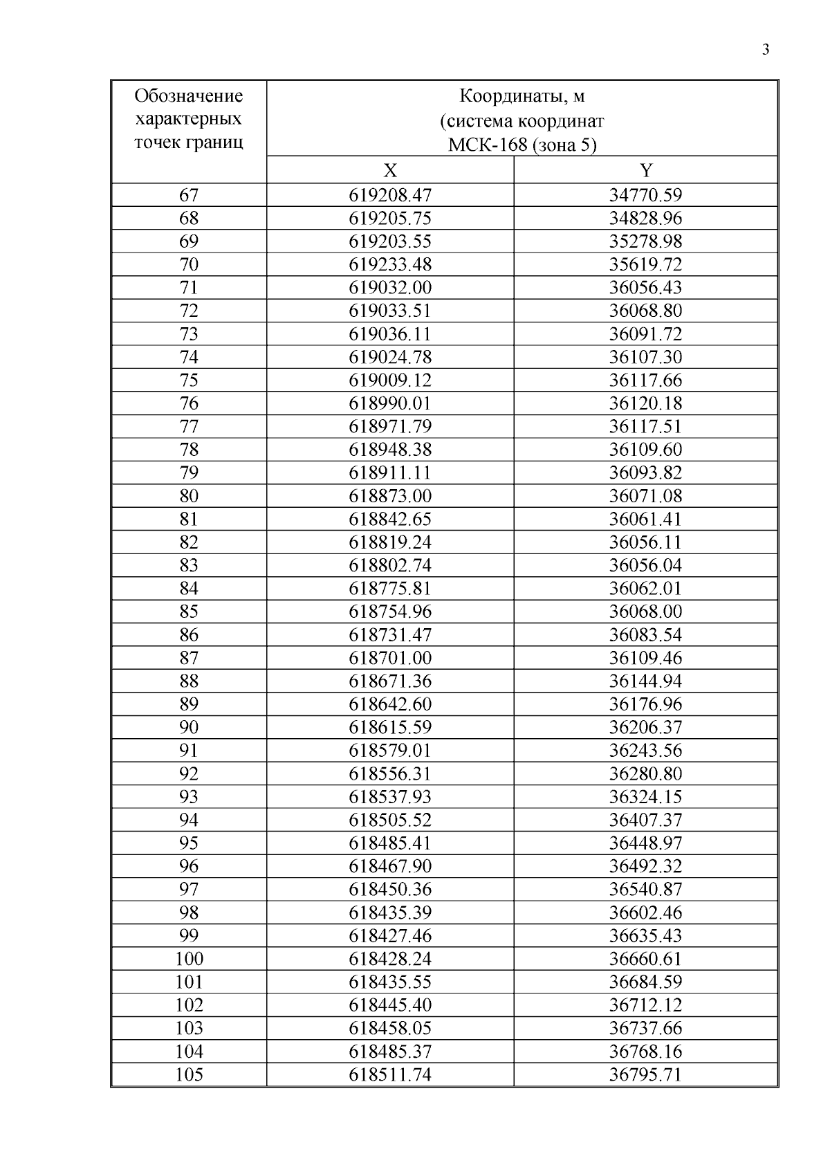
Закон Красноярского края от 21.11.2024 № 8-3285
"О внесении изменений в Закон края "Об установлении границ и наделении соответствующим статусом муниципального образования Саянский район и находящихся в его границах иных муниципальных образований" (принят Законодательным Собранием Красноярского края 21.11.2024, подписан Губернатором Красноярского края 28.11.2024)
Номер опубликования: 2400202411290014
Дата опубликования: 29.11.2024
Страница №82 из 1046:
Увеличить