Официальное опубликование правовых актов
ОФИЦИАЛЬНОЕ ОПУБЛИКОВАНИЕ
Закон Красноярского края от 10.10.2024 № 8-3149
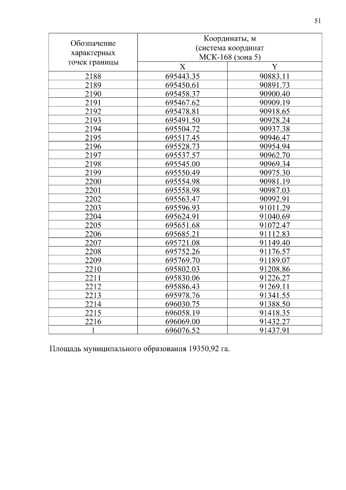
"О внесении изменений в Закон края "Об установлении границ и наделении соответствующим статусом муниципального образования Канский район и находящихся в его границах иных муниципальных образований" и приложение 25 к Закону края "Об установлении границ и наделении соответствующим статусом муниципального образования Дзержинский район и находящихся в его границах иных муниципальных образований" (принят Законодательным Собранием Красноярского края 10.10.2024, подписан Губернатором Красноярского края 17.10.2024)
Номер опубликования: 2400202410220009
Дата опубликования: 22.10.2024
Страница №54 из 968:
Увеличить