Официальное опубликование правовых актов
ОФИЦИАЛЬНОЕ ОПУБЛИКОВАНИЕ
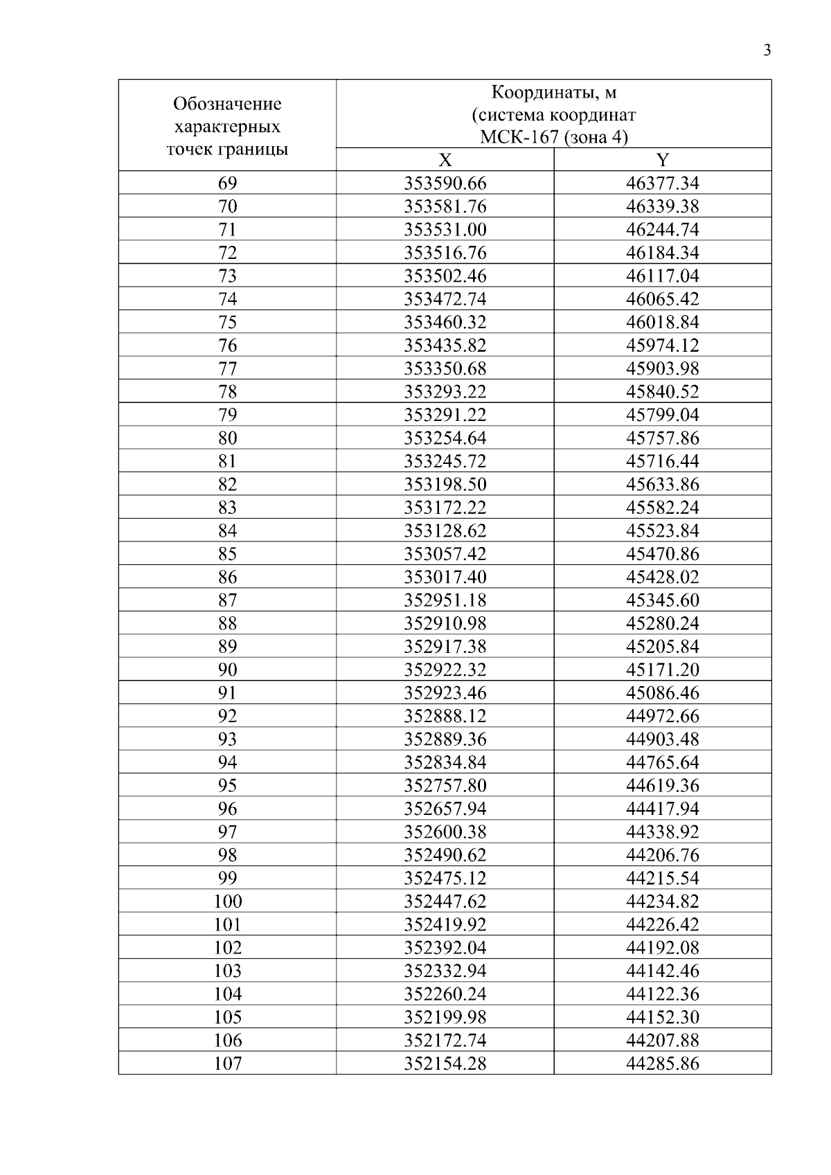
Закон Красноярского края от 13.06.2024 № 7-2869
"О внесении изменений в Закон края "Об установлении границ и наделении соответствующим статусом муниципального образования Шушенский район и находящихся в его границах иных муниципальных образований" (принят Законодательным Собранием Красноярского края 13.06.2024, подписан Губернатором Красноярского края 19.06.2024)
Номер опубликования: 2400202406250008
Дата опубликования: 25.06.2024
Страница №69 из 455:
Увеличить