Официальное опубликование правовых актов
ОФИЦИАЛЬНОЕ ОПУБЛИКОВАНИЕ
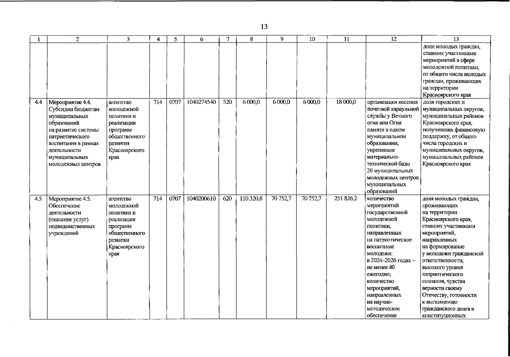
Постановление Правительства Красноярского края от 26.03.2024 № 200-п
"О внесении изменений в постановление Правительства Красноярского края от 30.09.2013 № 519-п "Об утверждении государственной программы Красноярского края "Молодежь Красноярского края в ХХI веке"
Номер опубликования: 2400202403280001
Дата опубликования: 28.03.2024
Страница №18 из 21:
Увеличить