Официальное опубликование правовых актов
ОФИЦИАЛЬНОЕ ОПУБЛИКОВАНИЕ
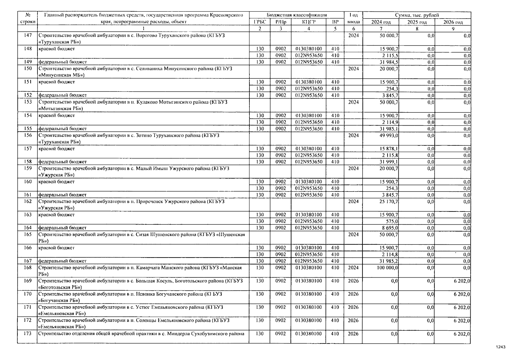
Закон Красноярского края от 07.12.2023 № 6-2296
"О краевом бюджете на 2024 год и плановый период 2025-2026 годов" (принят Законодательным Собранием Красноярского края 07.12.2023, подписан Губернатором Красноярского края 21.12.2023)
Номер опубликования: 2400202312270001
Дата опубликования: 27.12.2023
Страница №1243 из 1250:
Увеличить