Официальное опубликование правовых актов
ОФИЦИАЛЬНОЕ ОПУБЛИКОВАНИЕ
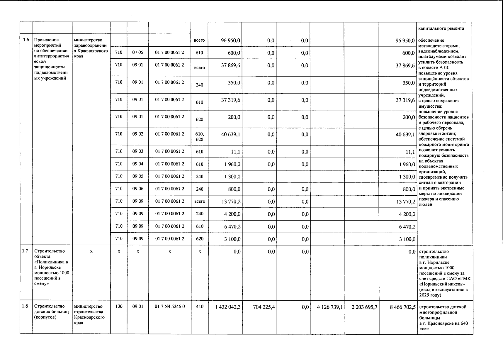
Постановление Правительства Красноярского края от 13.12.2023 № 993-п
"О внесении изменений в постановление Правительства Красноярского края от 30.09.2013 № 516-п "Об утверждении государственной программы Красноярского края "Развитие здравоохранения"
Номер опубликования: 2400202312220001
Дата опубликования: 22.12.2023
Страница №103 из 112:
Увеличить