Официальное опубликование правовых актов
ОФИЦИАЛЬНОЕ ОПУБЛИКОВАНИЕ
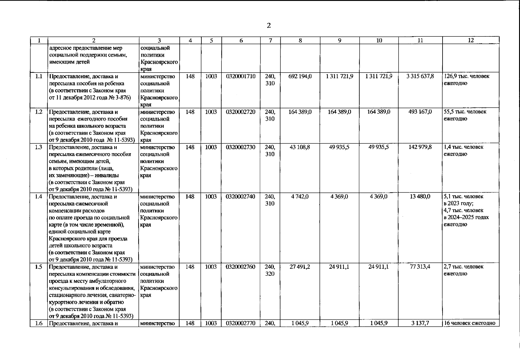
Постановление Правительства Красноярского края от 28.11.2023 № 930-п
"О внесении изменений в постановление Правительства Красноярского края от 30.09.2013 № 507-п «Об утверждении государственной программы Красноярского края "Развитие системы социальной поддержки граждан"
Номер опубликования: 2400202312040027
Дата опубликования: 04.12.2023
Страница №30 из 51:
Увеличить