Официальное опубликование правовых актов
ОФИЦИАЛЬНОЕ ОПУБЛИКОВАНИЕ
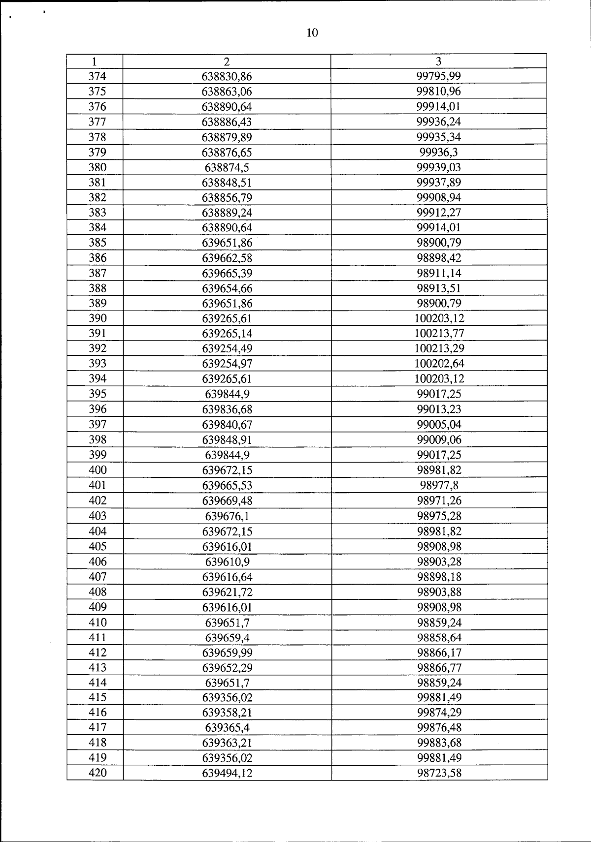
Постановление Правительства Красноярского края от 08.08.2023 № 641-п
"О принятии решения о комплексном развитии незастроенной территории в Центральном районе города Красноярска, ограниченной шоссе Северное – ул. Утренняя – границей муниципального образования городской округ город Красноярск Красноярского края, общей площадью 2 829 099,47 кв. м"
Номер опубликования: 2400202308150001
Дата опубликования: 15.08.2023
Страница №12 из 16:
Увеличить