Постановление Правительства Красноярского края от 20.07.2023 № 594-п
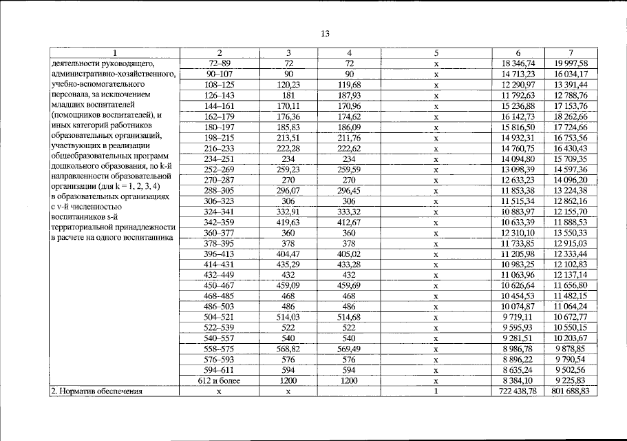
"О внесении изменений в постановление Правительства Красноярского края от 23.06.2014 № 244-п "Об утверждении Порядка расчета нормативов обеспечения реализации основных общеобразовательных программ дошкольного образования в муниципальных дошкольных образовательных организациях, расположенных на территории Красноярского края, общедоступного и бесплатного дошкольного образования в муниципальных общеобразовательных организациях, расположенных на территории Красноярского края, в расчете на одного воспитанника (одну группу), нормативов обеспечения реализации основных общеобразовательных программ дошкольного образования в муниципальных дошкольных образовательных организациях, расположенных на территории Красноярского края, общедоступного и бесплатного дошкольного образования в муниципальных общеобразовательных организациях, расположенных на территории Красноярского края, в расчете на одного воспитанника (одну группу) и нормативов обеспечения деятельности административно-хозяйственного, учебно-вспомогательного персонала и иных категорий работников образовательных организаций, участвующих в реализации общеобразовательных программ в соответствии с федеральными государственными образовательными стандартами, в расчете на одного воспитанника указанных образовательных организаций и Порядка предоставления субвенций бюджетам муниципальных районов, муниципальных округов и городских округов Красноярского края на обеспечение государственных гарантий реализации прав на получение общедоступного и бесплатного дошкольного образования в муниципальных дошкольных образовательных организациях, расположенных на территории Красноярского края, общедоступного и бесплатного дошкольного образования в муниципальных общеобразовательных организациях, расположенных на территории Красноярского края"
"О внесении изменений в постановление Правительства Красноярского края от 23.06.2014 № 244-п "Об утверждении Порядка расчета нормативов обеспечения реализации основных общеобразовательных программ дошкольного образования в муниципальных дошкольных образовательных организациях, расположенных на территории Красноярского края, общедоступного и бесплатного дошкольного образования в муниципальных общеобразовательных организациях, расположенных на территории Красноярского края, в расчете на одного воспитанника (одну группу), нормативов обеспечения реализации основных общеобразовательных программ дошкольного образования в муниципальных дошкольных образовательных организациях, расположенных на территории Красноярского края, общедоступного и бесплатного дошкольного образования в муниципальных общеобразовательных организациях, расположенных на территории Красноярского края, в расчете на одного воспитанника (одну группу) и нормативов обеспечения деятельности административно-хозяйственного, учебно-вспомогательного персонала и иных категорий работников образовательных организаций, участвующих в реализации общеобразовательных программ в соответствии с федеральными государственными образовательными стандартами, в расчете на одного воспитанника указанных образовательных организаций и Порядка предоставления субвенций бюджетам муниципальных районов, муниципальных округов и городских округов Красноярского края на обеспечение государственных гарантий реализации прав на получение общедоступного и бесплатного дошкольного образования в муниципальных дошкольных образовательных организациях, расположенных на территории Красноярского края, общедоступного и бесплатного дошкольного образования в муниципальных общеобразовательных организациях, расположенных на территории Красноярского края"
Номер опубликования: 2400202307270002
Дата опубликования:
27.07.2023
