Официальное опубликование правовых актов
ОФИЦИАЛЬНОЕ ОПУБЛИКОВАНИЕ
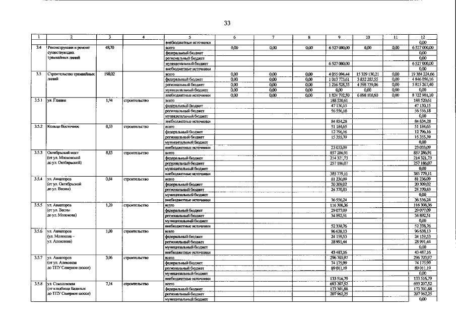
Постановление Правительства Красноярского края от 27.04.2023 № 336-п
"Об утверждении Программы комплексного развития транспортной инфраструктуры Красноярской городской агломерации"
Номер опубликования: 2400202305050003
Дата опубликования: 05.05.2023
Страница №34 из 68:
Увеличить