Официальное опубликование правовых актов
ОФИЦИАЛЬНОЕ ОПУБЛИКОВАНИЕ
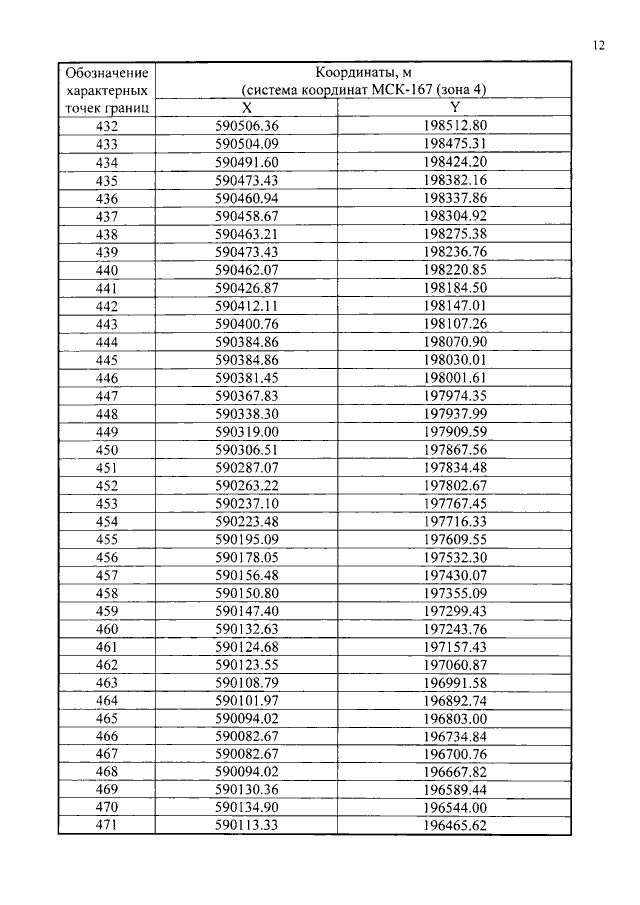
Закон Красноярского края от 16.03.2023 № 5-1635
"О внесении изменений в Закон края "Об установлении границ и наделении соответствующим статусом муниципального образования Уярский район и находящихся в его границах иных муниципальных образований" (принят Законодательным Собранием Красноярского края 16.03.2023, подписан Губернатором Красноярского края 27.03.2023)
Номер опубликования: 2400202303290006
Дата опубликования: 29.03.2023
Страница №424 из 539:
Увеличить