Официальное опубликование правовых актов
ОФИЦИАЛЬНОЕ ОПУБЛИКОВАНИЕ
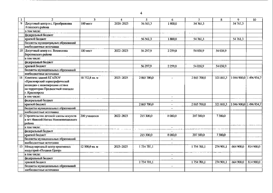
Постановление Правительства Красноярского края от 14.03.2023 № 179-п
"О внесении изменений в постановление Правительства Красноярского края от 30.09.2013 № 511-п "Об утверждении государственной программы Красноярского края "Развитие культуры и туризма"
Номер опубликования: 2400202303160006
Дата опубликования: 16.03.2023
Страница №6 из 33:
Увеличить