Официальное опубликование правовых актов
ОФИЦИАЛЬНОЕ ОПУБЛИКОВАНИЕ
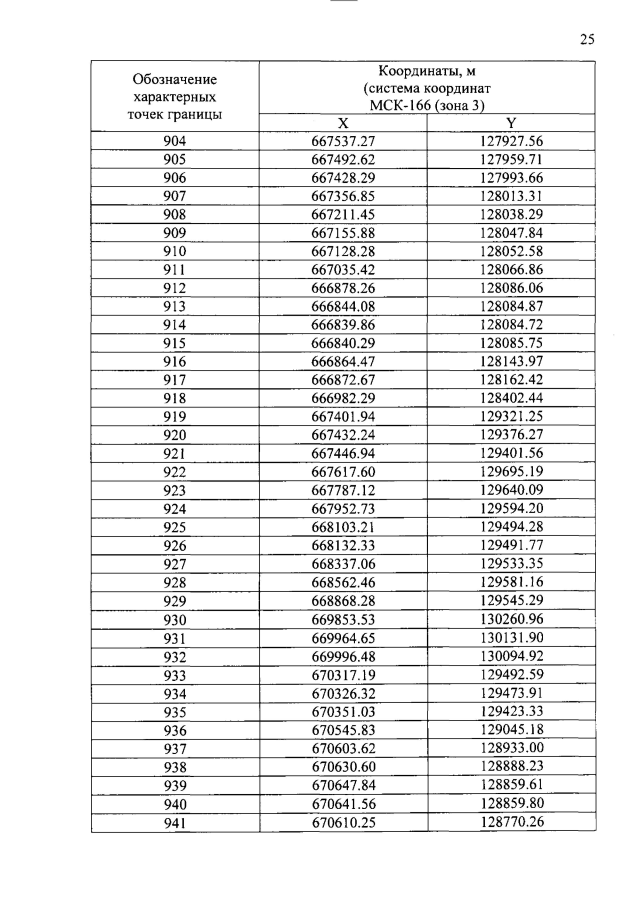
Закон Красноярского края от 09.12.2022 № 4-1355
"О внесении изменений в Закон края "Об установлении границ муниципального образования город Назарово и наделении его статусом городского округа" (принят Законодательным Собранием Красноярского края 09.12.2022, подписан Губернатором Красноярского края 20.12.2022)
Номер опубликования: 2400202212260004
Дата опубликования: 26.12.2022
Страница №27 из 42:
Увеличить