Официальное опубликование правовых актов
ОФИЦИАЛЬНОЕ ОПУБЛИКОВАНИЕ
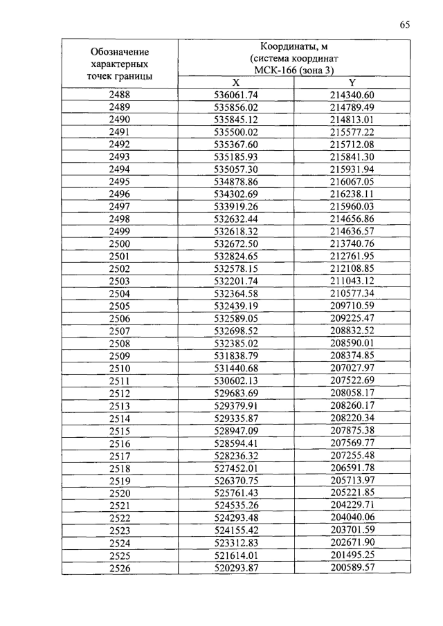
Закон Красноярского края от 09.12.2022 № 4-1357
"О внесении изменений в Закон края "Об установлении границ и наделении соответствующим статусом муниципального образования Новоселовский район и находящихся в его границах иных муниципальных образований" (принят Законодательным Собранием Красноярского края 09.12.2022, подписан Губернатором Красноярского края 20.12.2022)
Номер опубликования: 2400202212260002
Дата опубликования: 26.12.2022
Страница №343 из 371:
Увеличить