Официальное опубликование правовых актов
ОФИЦИАЛЬНОЕ ОПУБЛИКОВАНИЕ
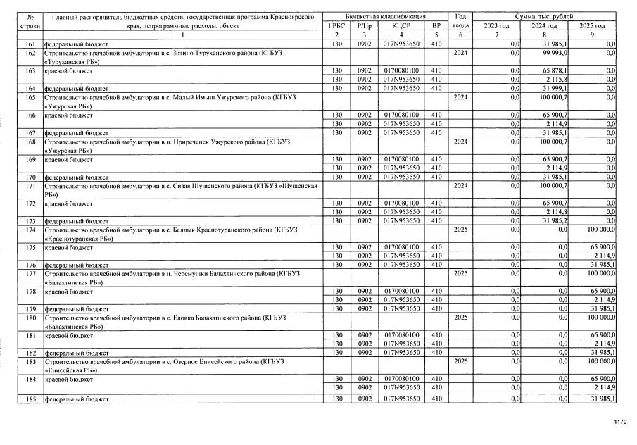
Закон Красноярского края от 09.12.2022 № 4-1351
"О краевом бюджете на 2023 год и плановый период 2024–2025 годов" (принят Законодательным Собранием Красноярского края 09.12.2022, подписан Губернатором Красноярского края 20.12.2022)
Номер опубликования: 2400202212260001
Дата опубликования: 26.12.2022
Страница №1045 из 1054:
Увеличить