Официальное опубликование правовых актов
ОФИЦИАЛЬНОЕ ОПУБЛИКОВАНИЕ
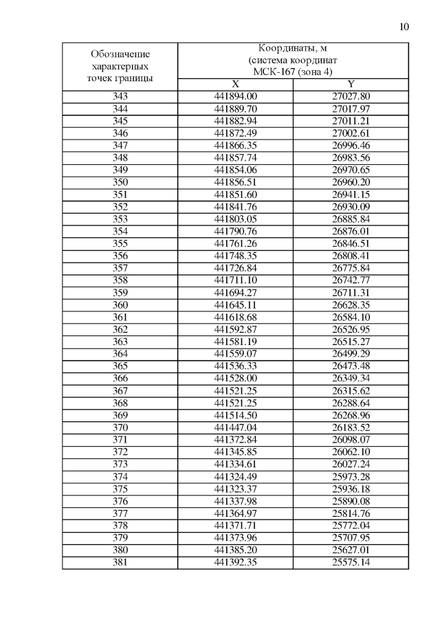
Закон Красноярского края от 24.11.2022 № 4-1286
"О внесении изменений в Закон края "Об установлении границ и наделении соответствующим статусом муниципального образования Краснотуранский район и находящихся в его границах иных муниципальных образований" (принят Законодательным Собранием Красноярского края 24.11.2022, подписан Губернатором Красноярского края 07.12.2022)
Номер опубликования: 2400202212140029
Дата опубликования: 14.12.2022
Страница №85 из 297:
Увеличить