Официальное опубликование правовых актов
ОФИЦИАЛЬНОЕ ОПУБЛИКОВАНИЕ
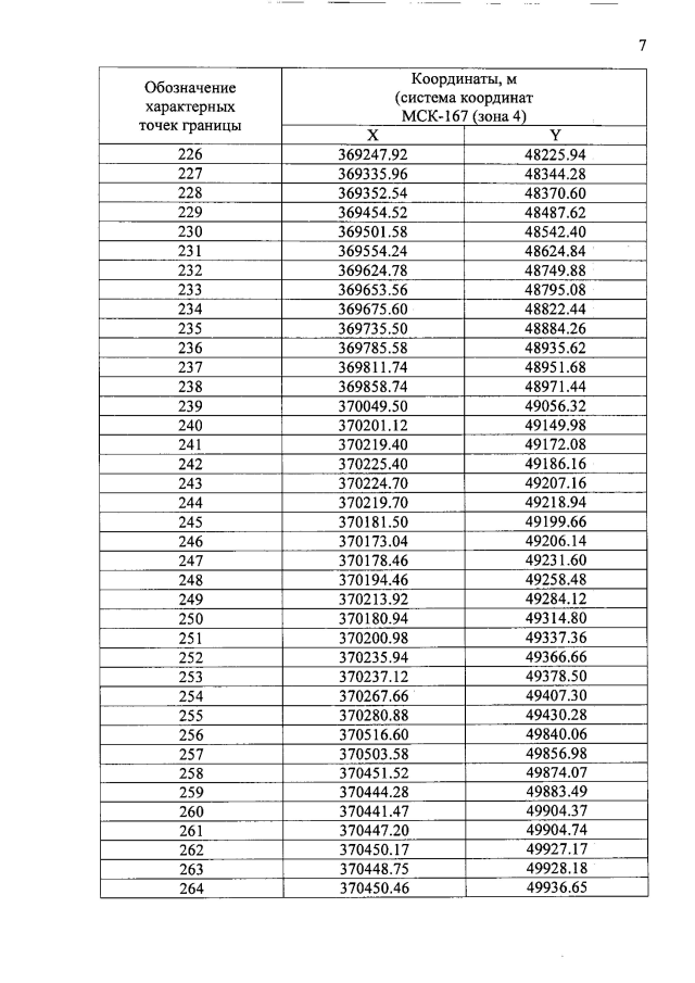
Закон Красноярского края от 10.11.2022 № 4-1188
"О внесении изменений в Закон края "Об установлении границ и наделении соответствующим статусом муниципального образования Минусинский район и находящихся в его границах иных муниципальных образований" (принят Законодательным Собранием Красноярского края 10.11.2022, подписан Губернатором Красноярского края 21.11.2022)
Номер опубликования: 2400202211250011
Дата опубликования: 25.11.2022
Страница №88 из 412:
Увеличить