Официальное опубликование правовых актов
ОФИЦИАЛЬНОЕ ОПУБЛИКОВАНИЕ
Закон Красноярского края от 10.11.2022 № 4-1192
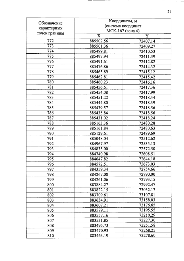
"О внесении изменений в Закон края "Об утверждении границ г. Лесосибирска Красноярского края" и Закон края "О наделении муниципального образования город Лесосибирск статусом городского округа" (принят Законодательным Собранием Красноярского края 10.11.2022, подписан Губернатором Красноярского края 21.11.2022)
Номер опубликования: 2400202211250009
Дата опубликования: 25.11.2022
Страница №23 из 140:
Увеличить