Официальное опубликование правовых актов
ОФИЦИАЛЬНОЕ ОПУБЛИКОВАНИЕ
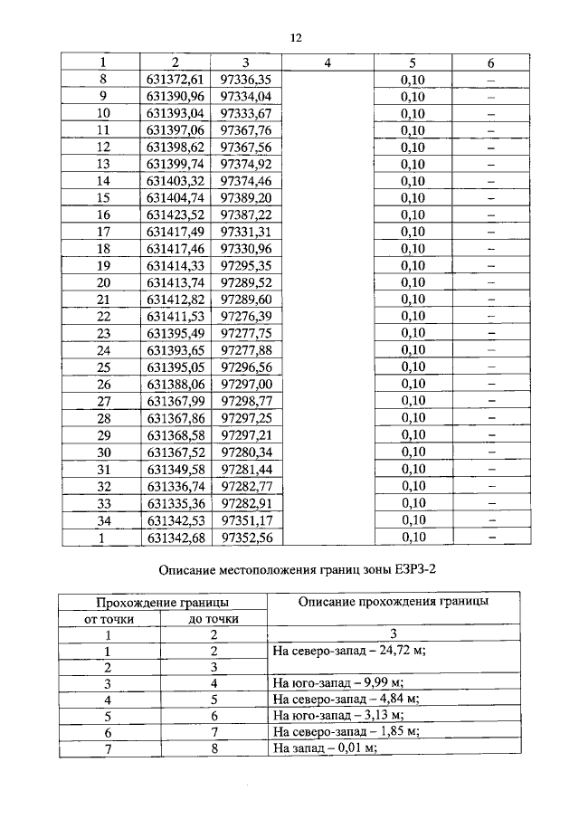
Постановление Правительства Красноярского края от 26.04.2022 № 341-п
"Об установлении объединенной зоны охраны объектов культурного наследия регионального и местного (муниципального значения), расположенных в г. Красноярске в квартале, образованном пересечением улиц Карла Маркса, Горького, Бограда, Декабристов, утверждении режимов использования земель и земельных участков, требований к градостроительным регламентам в границах территории данной зоны"
Номер опубликования: 2400202205060008
Дата опубликования: 06.05.2022
Страница №14 из 26:
Увеличить