Официальное опубликование правовых актов
ОФИЦИАЛЬНОЕ ОПУБЛИКОВАНИЕ
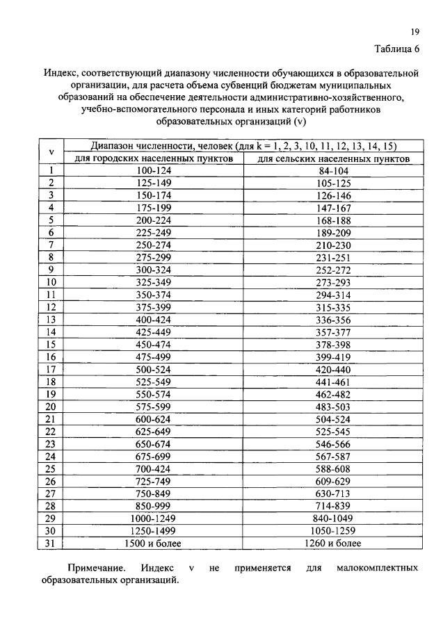
Закон Красноярского края от 23.12.2021 № 2-378
"О внесении изменений в приложение 1 к Закону края "Об образовании в Красноярском крае" (принят Законодательным Собранием Красноярского края 23.12.2021, подписан Губернатором Красноярского края 29.12.2021)
Номер опубликования: 2400202112300041
Дата опубликования: 30.12.2021
Страница №20 из 22:
Увеличить