Официальное опубликование правовых актов
ОФИЦИАЛЬНОЕ ОПУБЛИКОВАНИЕ
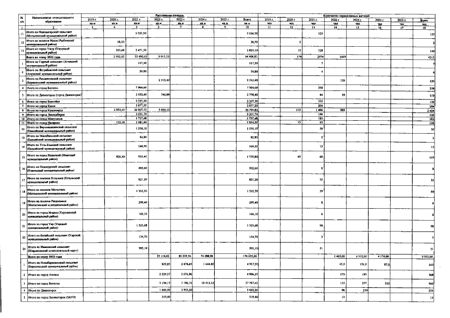
Постановление Правительства Красноярского края от 26.11.2021 № 834-п
"О внесении изменений в постановление Правительства Красноярского края от 29.03.2019 № 144-п "Об утверждении региональной адресной программы "Переселение граждан из аварийного фонда в Красноярском крае" на 2019-2025 годы"
Номер опубликования: 2400202111300004
Дата опубликования: 30.11.2021
Страница №44 из 55:
Увеличить