Официальное опубликование правовых актов
ОФИЦИАЛЬНОЕ ОПУБЛИКОВАНИЕ
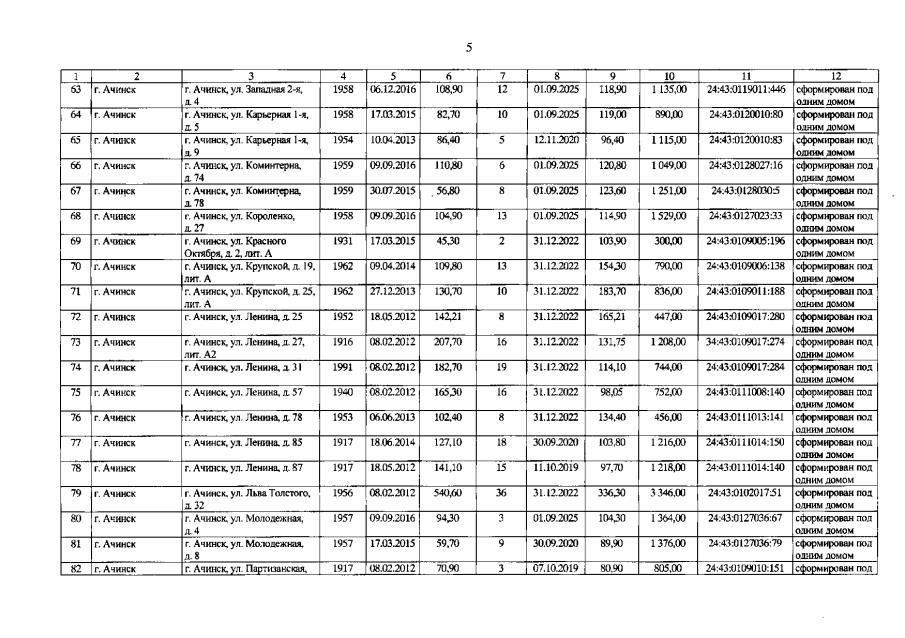
Постановление Правительства Красноярского края от 29.09.2021 № 671-п
"О внесении изменений в постановление Правительства Красноярского края от 29.03.2019 № 144-п "Об утверждении региональной адресной программы "Переселение граждан из аварийного жилищного фонда в Красноярском крае" на 2019–2025 годы"
Номер опубликования: 2400202110070004
Дата опубликования: 07.10.2021
Страница №13 из 91:
Увеличить