Официальное опубликование правовых актов
ОФИЦИАЛЬНОЕ ОПУБЛИКОВАНИЕ
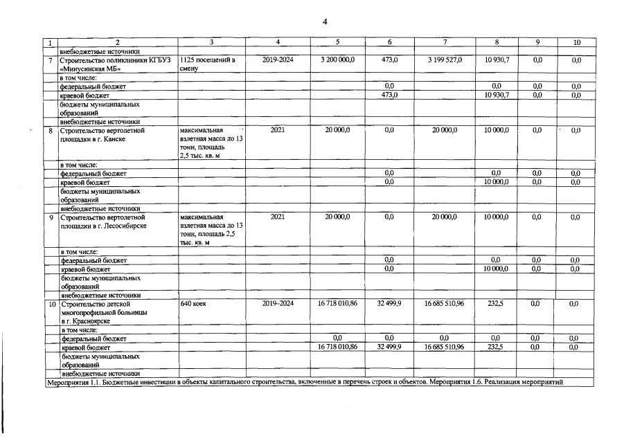
Постановление Правительства Красноярского края от 27.07.2021 № 511-п
"О внесении изменений в постановление Правительства Красноярского края от 30.09.2013 № 516-п "Об утверждении государственной программы Красноярского края "Развитие здравоохранения"
Номер опубликования: 2400202108100013
Дата опубликования: 10.08.2021
Страница №10 из 64:
Увеличить