Официальное опубликование правовых актов
ОФИЦИАЛЬНОЕ ОПУБЛИКОВАНИЕ
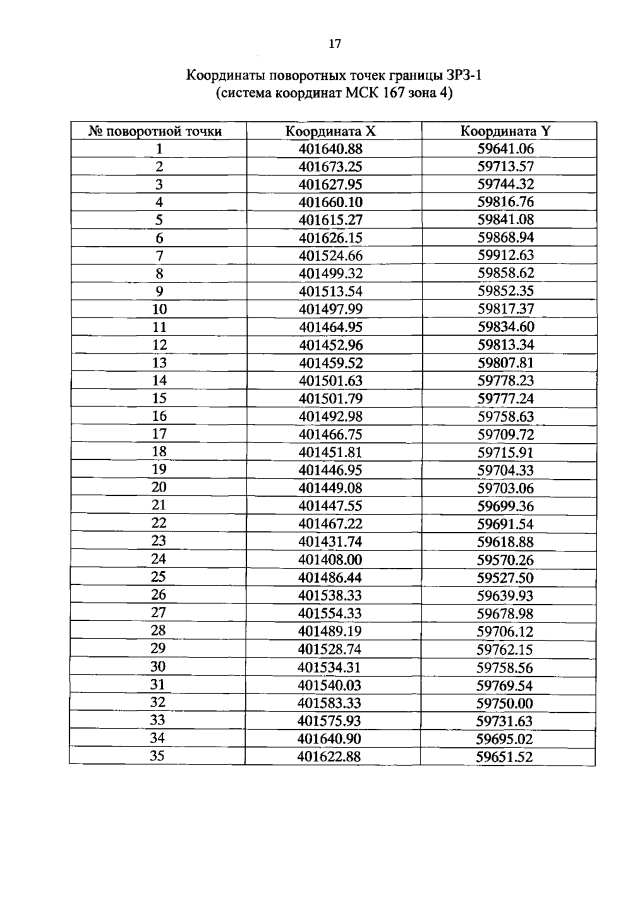
Постановление Правительства Красноярского края от 01.12.2020 № 826-п
"Об установлении зон охраны объектов культурного наследия регионального значения, расположенных в Курагинском районе Красноярского края, утверждении требований к градостроительным регламентам в границах территорий данных зон"
Номер опубликования: 2400202012100008
Дата опубликования: 10.12.2020
Страница №19 из 42:
Увеличить