Постановление Правительства Красноярского края от 17.11.2020 № 784-п
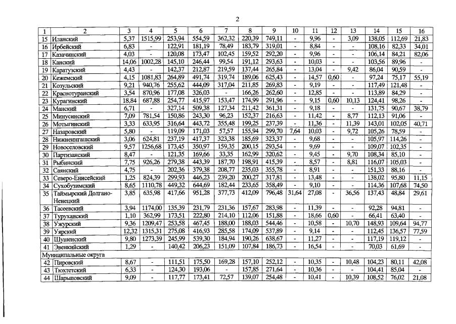
"Об утверждении среднего уровня кадастровой стоимости земель населенных пунктов по муниципальным районам (муниципальным округам, городским округам) Красноярского края"
"Об утверждении среднего уровня кадастровой стоимости земель населенных пунктов по муниципальным районам (муниципальным округам, городским округам) Красноярского края"
Номер опубликования: 2400202011230010
Дата опубликования:
23.11.2020
