Официальное опубликование правовых актов
ОФИЦИАЛЬНОЕ ОПУБЛИКОВАНИЕ
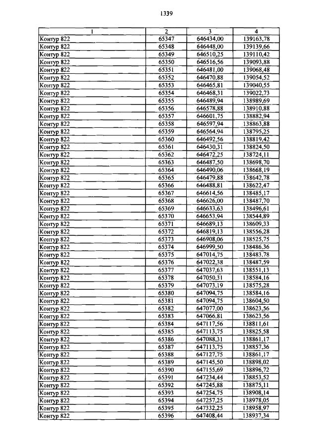
Постановление Правительства Красноярского края от 03.11.2020 № 759-п
"О внесении изменений в постановление Правительства Красноярского края от 14.05.2019 № 255-п "Об установлении границ лесопаркового зеленого пояса города Красноярска"
Номер опубликования: 2400202011130006
Дата опубликования: 13.11.2020
Страница №1340 из 1417:
Увеличить