Официальное опубликование правовых актов
ОФИЦИАЛЬНОЕ ОПУБЛИКОВАНИЕ
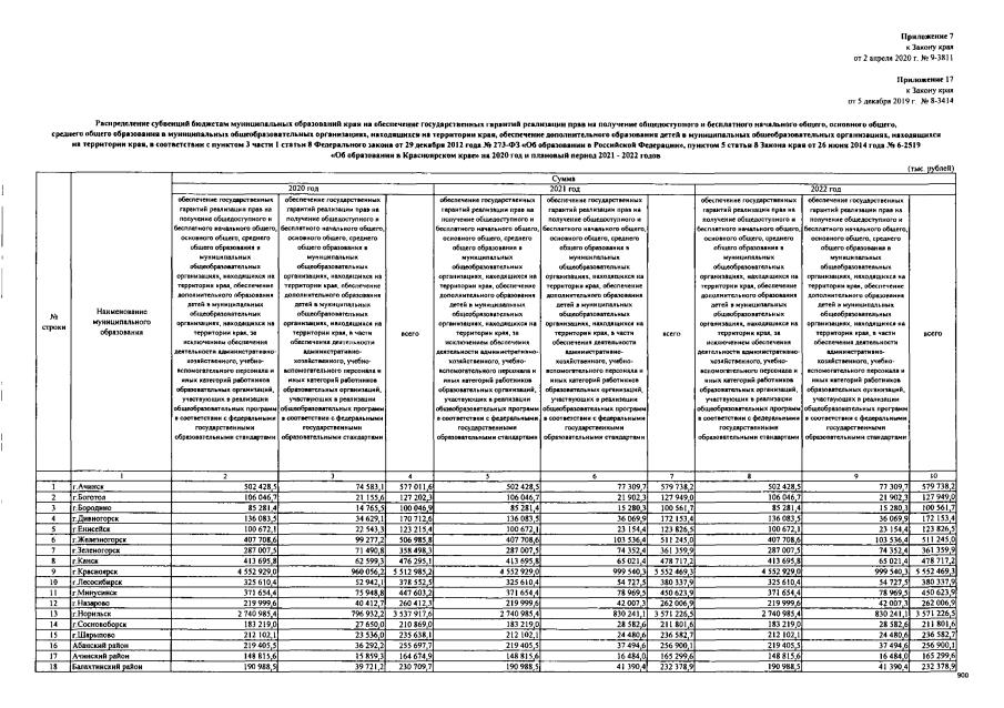
Закон Красноярского края от 02.04.2020 № 9-3811
"О внесении изменений в Закон края "О краевом бюджете на 2020 год и плановый период 2021–2022 годов" (принят Законодательным Собранием Красноярского края 02.04.2020, подписан Губернатором Красноярского края 13.04.2020)
Номер опубликования: 2400202004160016
Дата опубликования: 16.04.2020
Страница №800 из 875:
Увеличить