Официальное опубликование правовых актов
ОФИЦИАЛЬНОЕ ОПУБЛИКОВАНИЕ
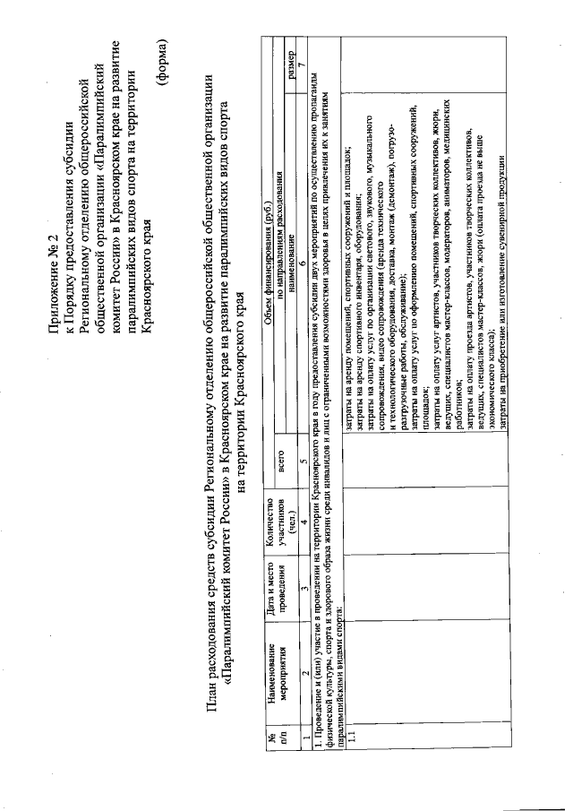
Постановление Правительства Красноярского края от 30.03.2020 № 176-п
"Об установлении Порядка предоставления субсидии Региональному отделению общероссийской общественной организации "Паралимпийский комитет России" в Красноярском крае на развитие паралимпийских видов спорта на территории Красноярского края"
Номер опубликования: 2400202004090002
Дата опубликования: 09.04.2020
Страница №16 из 24:
Увеличить