Официальное опубликование правовых актов
ОФИЦИАЛЬНОЕ ОПУБЛИКОВАНИЕ
Постановление Правительства Красноярского края от 28.01.2020 № 52-п
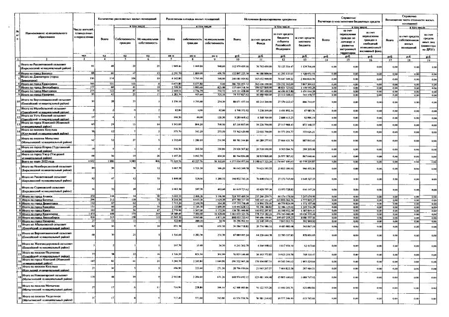
"О внесении изменений в постановление Правительства Красноярского края от 29.03.2019 № 144-п "Об утверждении региональной адресной программы "Переселение граждан из аварийного жилищного фонда в Красноярском крае" на 2019-2025 годы"
Номер опубликования: 2400202001300012
Дата опубликования: 30.01.2020
Страница №13 из 19:
Увеличить