Официальное опубликование правовых актов
ОФИЦИАЛЬНОЕ ОПУБЛИКОВАНИЕ
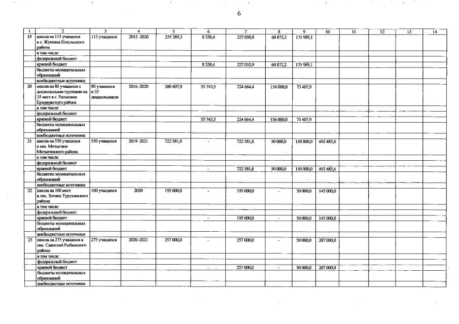
Постановление Правительства Красноярского края от 10.12.2019 № 681-п
"О внесении изменений в постановление Правительства Красноярского края от 30.09.2013 № 508-п "Об утверждении государственной программы Красноярского края "Развитие образования"
Номер опубликования: 2400201912170019
Дата опубликования: 17.12.2019
Страница №11 из 87:
Увеличить