Официальное опубликование правовых актов
ОФИЦИАЛЬНОЕ ОПУБЛИКОВАНИЕ
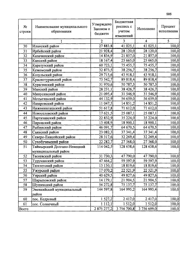
Закон Красноярского края от 11.07.2019 № 7-2911
"Об исполнении краевого бюджета за 2018 год" (принят Законодательным Собранием Красноярского края 11.07.2019, подписан Губернатором Красноярского края 23.07.2019)
Номер опубликования: 2400201907260005
Дата опубликования: 26.07.2019
Страница №585 из 646:
Увеличить