Официальное опубликование правовых актов
ОФИЦИАЛЬНОЕ ОПУБЛИКОВАНИЕ
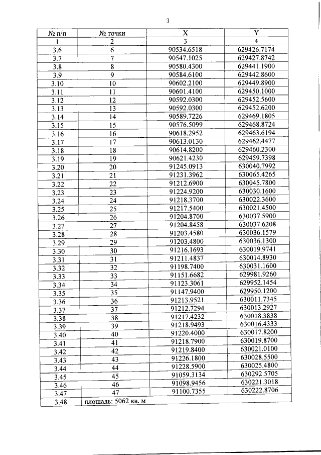
Постановление Правительства Красноярского края от 14.12.2017 № 751-п
"Об утверждении документации по планировке территории для размещения линейного объекта регионального значения "Система технического водоснабжения для искусственного оснежнения комплекса горнолыжных трасс спортивно-тренировочного комплекса "Академия зимних видов спорта"
Номер опубликования: 2400201712210002
Дата опубликования: 21.12.2017
Страница №17 из 17:
Увеличить