Официальное опубликование правовых актов
ОФИЦИАЛЬНОЕ ОПУБЛИКОВАНИЕ
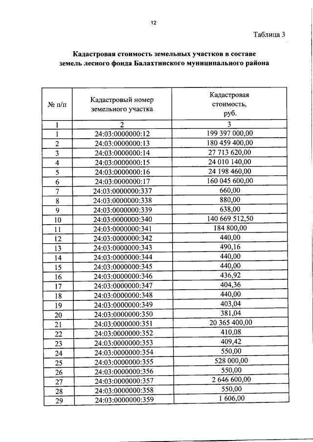
Постановление Правительства Красноярского края от 26.09.2017 № 557-п
"Об утверждении результатов определения кадастровой стоимости земельных участков в составе земель лесного фонда на территории Красноярского края, за исключением муниципального образования город Красноярск"
Номер опубликования: 2400201710020004
Дата опубликования: 02.10.2017
Страница №13 из 205:
Увеличить