Официальное опубликование правовых актов
ОФИЦИАЛЬНОЕ ОПУБЛИКОВАНИЕ
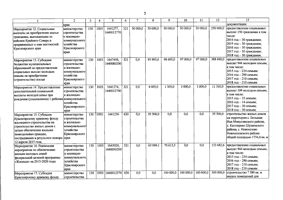
Постановление Правительства Красноярского края от 30.08.2016 № 440-п
"О внесении изменений в постановление Правительства Красноярского края от 30.09.2013 № 514-п "Об утверждении государственной программы Красноярского края "Создание условий для обеспечения доступным и комфортным жильем граждан Красноярского края"
Номер опубликования: 2400201609080001
Дата опубликования: 08.09.2016
Страница №39 из 45:
Увеличить