Официальное опубликование правовых актов
ОФИЦИАЛЬНОЕ ОПУБЛИКОВАНИЕ
Постановление Правительства Красноярского края от 18.08.2016 № 404-п
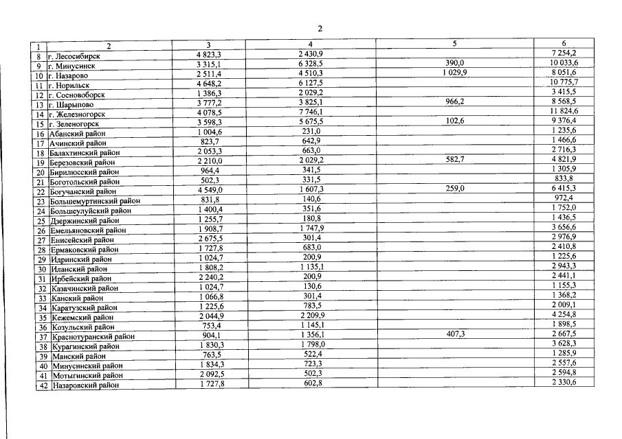
"О внесении изменения в постановление Правительства Красноярского края от 13.04.2016 № 165-п "Об утверждении списков победителей конкурсных отборов для предоставления субсидии бюджетам муниципальных образований Красноярского края на приобретение и монтаж модульных зданий жилых корпусов (корпусов для реализации образовательных программ), на приобретение и монтаж модульных зданий медицинских пунктов в муниципальных загородных оздоровительных лагерях в 2016 году и распределения субсидий бюджетам муниципальных образований Красноярского края на организацию отдыха детей и их оздоровления в 2016 году"
Номер опубликования: 2400201608220011
Дата опубликования: 22.08.2016
Страница №4 из 5:
Увеличить