Официальное опубликование правовых актов
ОФИЦИАЛЬНОЕ ОПУБЛИКОВАНИЕ
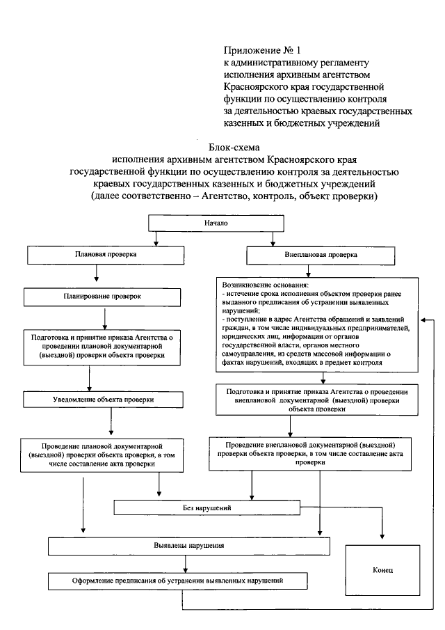
Постановление Правительства Красноярского края от 28.03.2016 № 132-п
"Об утверждении административного регламента исполнения архивным агентством Красноярского края государственной функции по осуществлению контроля за деятельностью краевых государственных казенных и бюджетных учреждений"
Номер опубликования: 2400201604010008
Дата опубликования: 01.04.2016
Страница №32 из 35:
Увеличить