Официальное опубликование правовых актов
ОФИЦИАЛЬНОЕ ОПУБЛИКОВАНИЕ
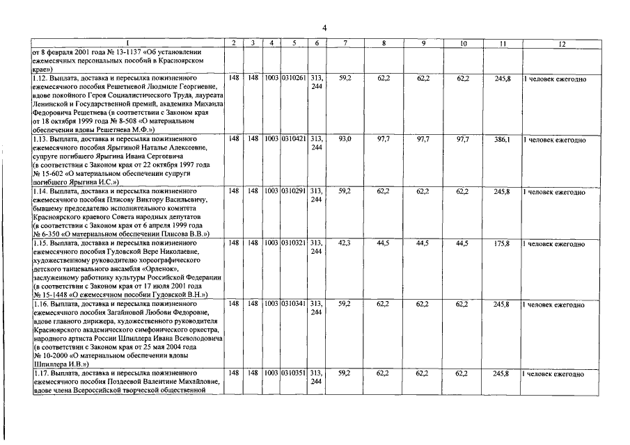
Постановление Правительства Красноярского края от 15.12.2015 № 665-п
"О внесении изменений в постановление Правительства Красноярского края от 30.09.2013 № 507-п "Об утверждении государственной программы Красноярского края "Развитие системы социальной поддержки населения"
Номер опубликования: 2400201512240001
Дата опубликования: 24.12.2015
Страница №30 из 74:
Увеличить