Официальное опубликование правовых актов
ОФИЦИАЛЬНОЕ ОПУБЛИКОВАНИЕ
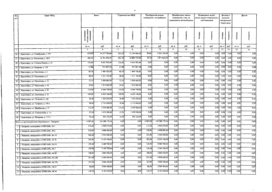
Постановление Правительства Красноярского края от 20.10.2015 № 553-п
"О внесении изменений в постановление Правительства Красноярского края от 06.05.2013 № 228-п "Об утверждении региональных адресных программ по переселению граждан из аварийного жилищного фонда в Красноярском крае на 2013–2017 годы"
Номер опубликования: 2400201510280001
Дата опубликования: 28.10.2015
Страница №32 из 87:
Увеличить