Официальное опубликование правовых актов
ОФИЦИАЛЬНОЕ ОПУБЛИКОВАНИЕ
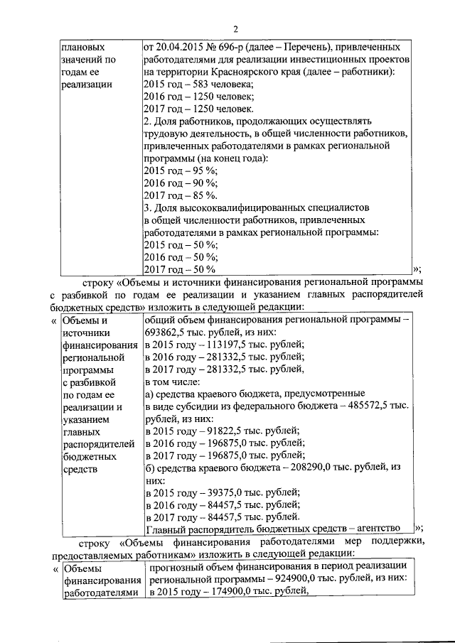
Постановление Правительства Красноярского края от 28.09.2015 № 493-п
"О внесении изменений в постановление Правительства Красноярского края от 27.07.2015 № 391-п "Об утверждении региональной программы повышения мобильности трудовых ресурсов"
Номер опубликования: 2400201509300002
Дата опубликования: 30.09.2015
Страница №2 из 13:
Увеличить