Официальное опубликование правовых актов
ОФИЦИАЛЬНОЕ ОПУБЛИКОВАНИЕ
Приказ администрации Краснодарского края от 13.03.2026 № 289-КН
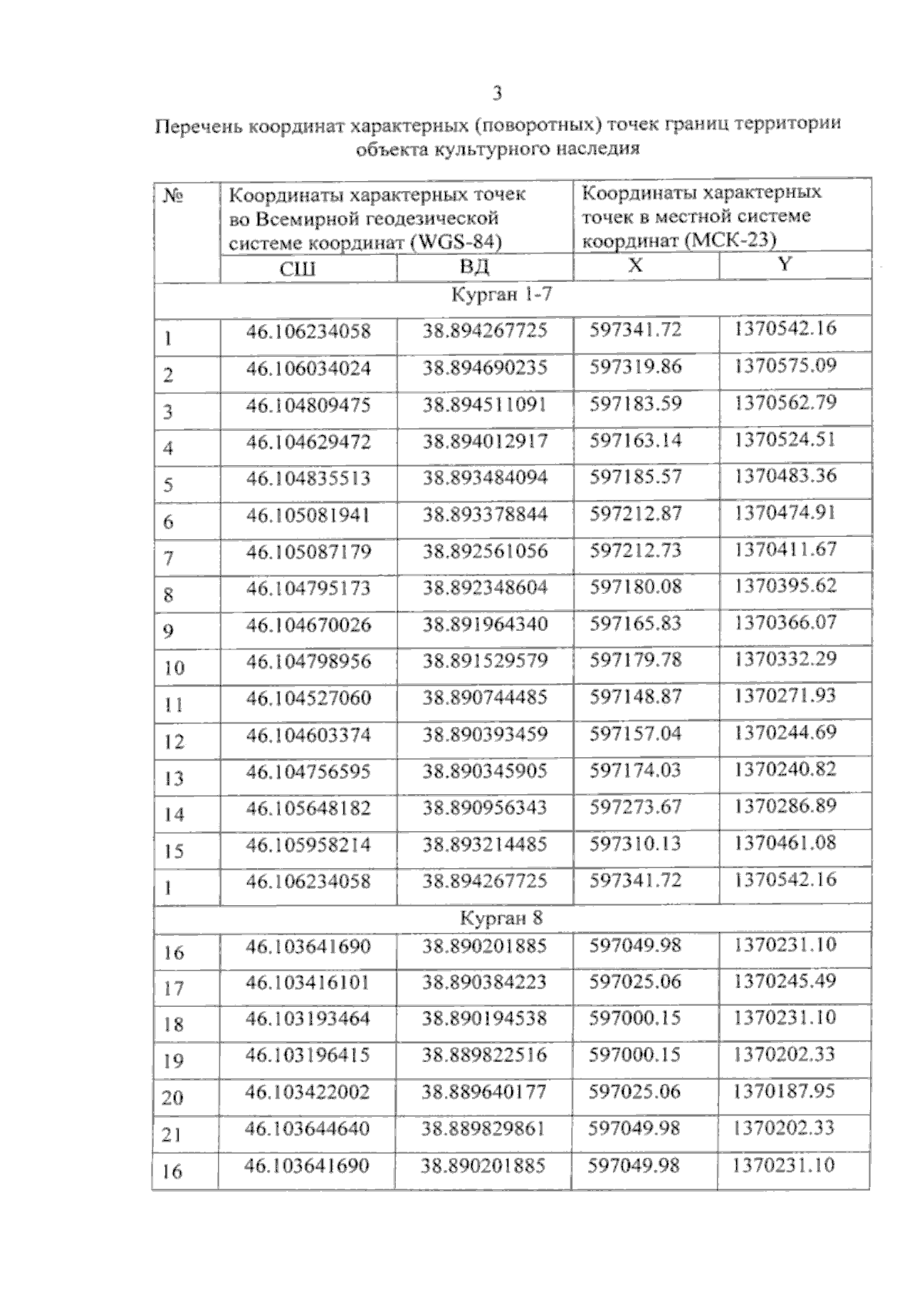
"Об утверждении границ и режима использования территории объекта культурного наследия федерального значения "Курганная группа "Мальков 1" (9 насыпей)", эпоха бронзы – позднее средневековье, Краснодарский край, Каневской район, ст-ца Каневская, 3,5 км к западу от железнодорожной станции"
Номер опубликования: 2301202603170023
Дата опубликования: 17.03.2026
Страница №5 из 7:
Увеличить