Официальное опубликование правовых актов
ОФИЦИАЛЬНОЕ ОПУБЛИКОВАНИЕ
Приказ администрации Краснодарского края от 12.02.2026 № 100-КН
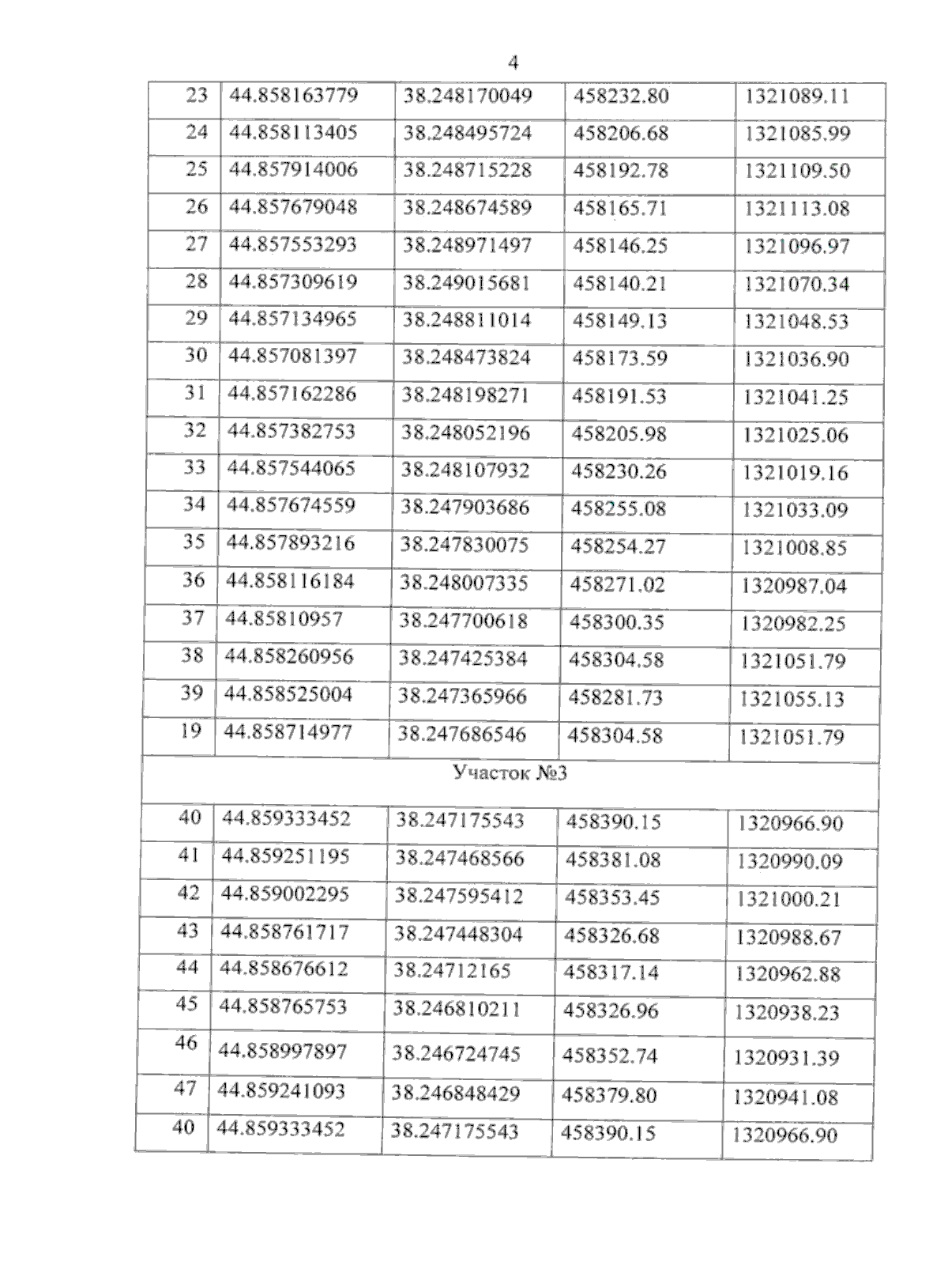
"Об утверждении границ и режима использования территории объекта культурного наследия федерального значения "Курганная группа "Бугундырь 7" (9 насыпей)", третье тысячелетие до н.э. – XVI в. н.э., Краснодарский край, Абинский район, г. Абинск, 7 км к юго–востоку от города, 0,02 км к югу от автодороги Абинск – Краснодар"
Номер опубликования: 2301202602160009
Дата опубликования: 16.02.2026
Страница №6 из 8:
Увеличить