Официальное опубликование правовых актов
ОФИЦИАЛЬНОЕ ОПУБЛИКОВАНИЕ
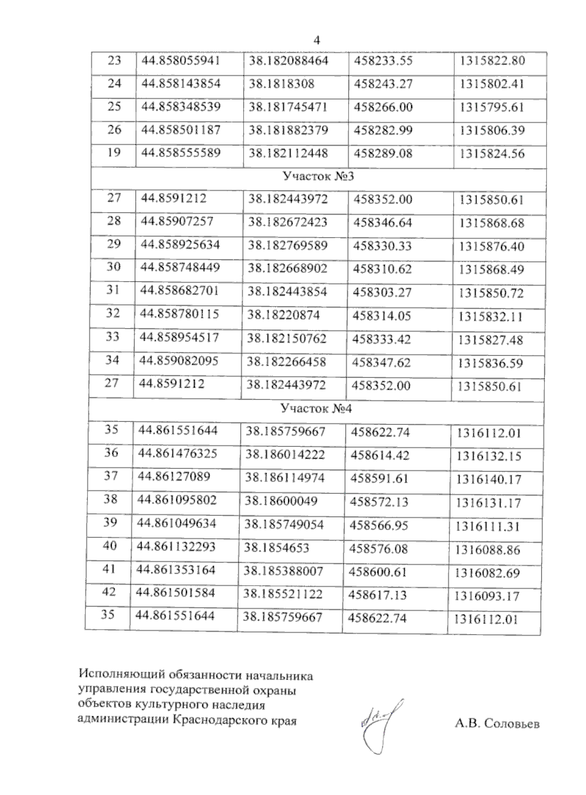
Приказ администрации Краснодарского края от 12.02.2026 № 99-КН
"Об утверждении границ и режима использования территории объекта культурного наследия федерального значения "Курганная группа "Ахтырская 7" (6 насыпей)", третье тысячелетие до н.э. – XVI в. н.э., Краснодарский край, Абинский район, г. Абинск, 0,5 км к юго–востоку от города, в 1,5 км к югу от автодороги Абинск – Краснодар, на водоразделе"
Номер опубликования: 2301202602160008
Дата опубликования: 16.02.2026
Страница №6 из 7:
Увеличить