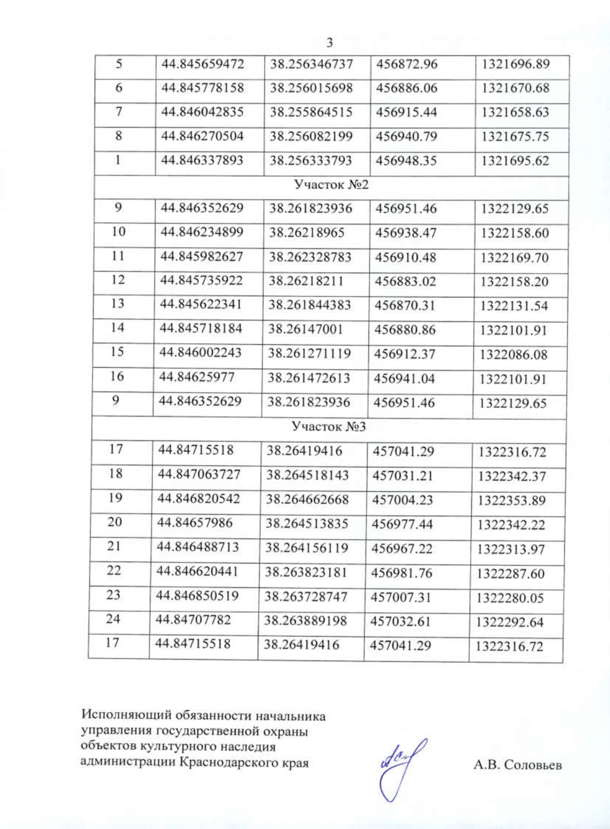
Приказ администрации Краснодарского края от 12.02.2026 № 98-КН
"Об утверждении границ и режима использования территории объекта культурного наследия федерального значения "Курганная группа "Ахтырская 6" (3 насыпи)", третье тысячелетие до н.э. – XVI в. н.э., Краснодарский край, Абинский район, г. Абинск, 7,5 км к юго–востоку от города, 0,7 км к югу от автодороги Абинск – Краснодар"
"Об утверждении границ и режима использования территории объекта культурного наследия федерального значения "Курганная группа "Ахтырская 6" (3 насыпи)", третье тысячелетие до н.э. – XVI в. н.э., Краснодарский край, Абинский район, г. Абинск, 7,5 км к юго–востоку от города, 0,7 км к югу от автодороги Абинск – Краснодар"
Номер опубликования: 2301202602160006
Дата опубликования:
16.02.2026
